Vũ trụ là một nơi vô cùng rộng lớn. Chẳng hạn, Proxima Centauri, ngôi sao ở gần chúng ta nhất, cách chúng ta khoảng 4,25 năm ánh sáng, tương đương với hơn 40.208 tỷ km. Và hiện giờ chúng ta đang rất muốn biết ngôi sao này được làm nên bởi những nguyên tố nào.

Đương nhiên, với các giới hạn công nghệ hiện tại, chúng ta chẳng thể nào chế ra một con tàu vũ trụ có khả năng di chuyển với tốc độ ánh sáng để đến được đó (300.000 km/s). Thậm chí, nếu chúng ta có được một con tàu như vậy thì cũng phải mất hơn 4 năm thì con người mới tới được đó để tiến hành phân tích. Quả là mất quá nhiều thời gian. Vậy thì làm thế nào để chúng ta có thể tìm hiểu về các nguyên tố hóa học cấu thành nên những ngôi sao này mà không cần phải đến tận nơi để lấy mẫu?
Trong thiên văn học, hầu hết các ngôi sao (cũng như các vật thể phản xạ ánh sáng từ chúng) mà chúng ta quan sát và nghiên cứu đều nằm ở những nơi rất xa. Không dừng lại ở đó, nhiệt độ cực cao của những ngôi sao này sẽ thiêu rụi bất kỳ vật thể nào có đủ can đảm để tiến đến “đối mặt” với nó. Nhưng thật may mắn, các ngôi sao vẫn cho chúng ta một “cơ hội” để có thể hiểu thêm nhiều điều hơn về chúng.
1. Ánh sáng và bức xạ
Bên trong ánh sáng và các bức xạ khác phát ra từ các ngôi sao ẩn chứa một lượng thông tin vô cùng lớn cho phép chúng ta biết được rất nhiều điều về hình dạng và cách thức hoạt động của những vật thể đó. Và nếu chúng ta có thể giải mã được những “thông điệp ẩn” này thì chúng ta sẽ biết được rất nhiều điều về vũ trụ mà không cần phải rời khỏi Trái Đất hay thậm chí là cái ghế đang ngồi của mình.
Ánh sáng khả kiến (ánh sáng có thể nhìn thấy bằng mắt thường) và các bức xạ khác mà chúng ta nhận được từ các vật thể xa xôi thường được tạo ra ở cấp độ nguyên tử. Do đó, để hiểu được ánh sáng và cách để giải mã được nó, chúng ta cần phải tìm hiểu cách thức hoạt động của các nguyên tử. Quả nhiên, hành trình vạn dặm phải bắt đầu từ một bước chân nhỏ đầu tiên.
Hãy lưu ý rằng ở đây, chúng ta đang sử dụng cụm từ “ánh sáng và các bức xạ khác”. Ở đây, ánh sáng mà chúng ta nhìn thấy bằng mắt thường chỉ là bề nổi của tảng băng chìm: đây chỉ là một ví dụ quen thuộc nhất (với đôi mắt của chúng ta) đại diện cho một số lượng lớn các loại bức xạ khác mang theo thông tin ẩn chứa bên trong các vật thể.
Trong thiên văn học, bức xạ được định nghĩa là một quá trình truyền năng lượng dưới dạng sóng hoặc dòng hạt phát ra từ một nguồn nhất định (chẳng hạn như Mặt Trời). Theo nghĩa rộng hơn, bức xạ có thể bao gồm bức xạ điện từ, bức xạ âm thanh, bức xạ hạt, bức xạ hấp dẫn hay bức xạ ion hoá & bức xạ không ion hoá.
Vào nửa đầu thế kỷ 19, sự hiểu biết của con người về điện từ học đã được cải thiện khá đáng kể thông qua rất nhiều thí nghiệm và và các công trình lý thuyết. Vào những năm 1780, Charles-Augustin de Coulomb đã thiết lập định luật tĩnh điện mang tên của mình. Năm 1825, André-Marie Ampère công bố định luật lực Ampère. Năm 1831, Michael Faraday phát hiện ra hiện tượng cảm ứng điện từ thông qua các thí nghiệm của mình. Năm 1834, Emil Lenz và Franz Ernst Neumann đã lần lượt đưa ra các tính toán về hướng và độ lớn của lực cảm ứng do sự thay đổi trong từ thông. Tuy nhiên, những kết quả và các quy tắc này chưa được sắp xếp một cách có hệ thống và đôi khi gây ra khá nhiều nhầm lẫn. Lúc này, một bản “Cheat sheet” tóm tắt toàn bộ các nguyên lý về điện động lực học là vô cùng cần thiết. Và công việc này được thực hiện bởi James Clerk Maxwell thông qua một loạt bài báo khoa học được xuất bản từ những năm 1850 cho đến những năm 1870.

2. Lý thuyết điện từ của Maxwell
Như chúng ta đã biết, một nguyên tử điển hình bao gồm một số các loại hạt. Các hạt này không chỉ có khối lượng mà còn có thêm một thuộc tính khác gọi là điện tích. Hạt nhân của mỗi nguyên tử bao gồm các proton mang điện tích dương; di chuyển xung quanh hạt nhân là các electron mang điện tích âm.
Trong khoảng không gian xung quanh một điện tích – thường được gọi là điện trường, một điện tích gần đó sẽ cảm nhận được một lực hút hoặc một lực đẩy: các điện tích trái dấu sẽ hút nhau; các điện tích cùng dấu sẽ đẩy nhau. Và khi các điện tích không chuyển động, chúng ta sẽ chỉ quan sát được lực tĩnh điện này. Tuy nhiên, nếu các điện tích chuyển động (như bên trong mỗi nguyên tử hay bên trong dây dẫn mang theo dòng điện), từ trường sẽ xuất hiện. Từ trường đã được biết đến từ rất lâu trong lịch sử loài người, nhưng nguyên lý của nó chỉ được hiểu rõ vào thế kỷ XIX với thí nghiệm của Michael Faraday (sẽ được đề cập ở bên dưới).
Ở đây, các nhà vật lý thường sử dụng từ “trường” để mô tả tác dụng của một lực đến từ một vật thể tác động lên các vật thể khác ở xa. Sử dụng thuật ngữ này, chúng ta có thể nói rằng các điện tích đứng yên đang tạo ra điện trường. Và khi các điện tích chuyển động, chúng sẽ tạo ra từ trường.
Trên thực tế, mối quan hệ giữa các “điện” và “từ” còn sâu sắc hơn thế nữa. Như chúng ta sẽ phân tích kỹ hơn ở bên dưới, sự thay đổi của từ trường có thể tạo ra dòng điện (và do đó làm thay đổi điện trường); và sự thay đổi của dòng điện lại có thể tạo ra từ trường. Vì vậy, sự thay đổi của điện trường và từ trường có thể liên tục kích hoạt lẫn nhau.
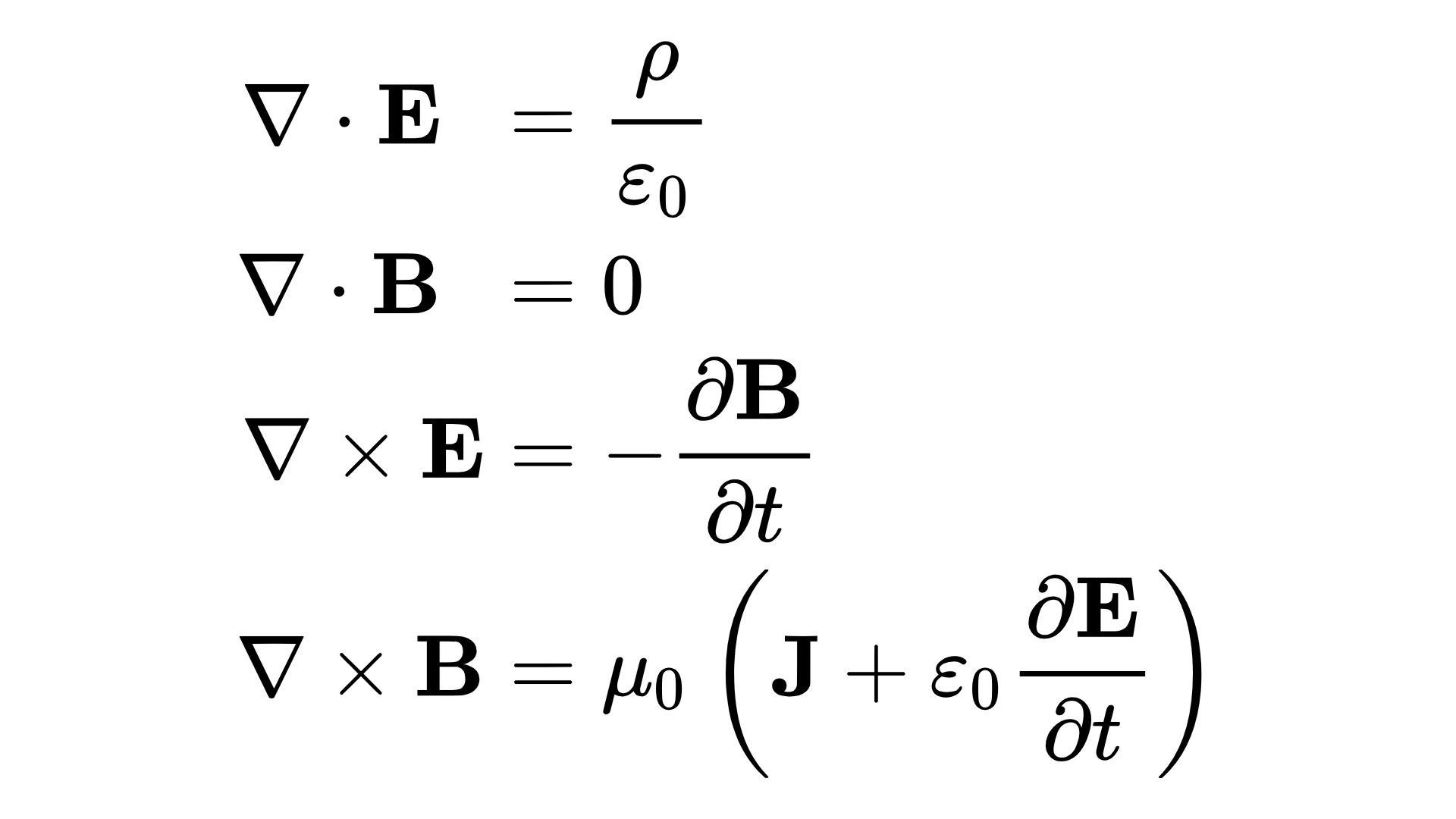
Và để có thể hiểu rõ hơn về những tuyên bố này, sau đây là các phương trình nằm trong “bộ tứ siêu đẳng” đã được James Clerk Maxwell phát triển trong giai đoạn từ những năm 1850 đến năm 1870

Bốn phương trình này đóng một vai trò vô cùng quan trọng trong tất cả các thứ liên quan đến dòng điện hay điện từ, chẳng hạn như chiếc điện thoại hay máy tính mà bạn dùng để đọc bài viết này, đèn điện dùng để thắp sáng các ngôi nhà hay trên đường, phần mềm mà mình đang sử dụng để đăng bài viết này…Và “Bộ tứ siêu đẳng” này là tác nhân chính chi phối và kiểm soát tất cả các thiết bị kể trên.
Sau đây là một ví dụ rất đơn giản về một phương trình toán học:
F(x) = x
Phương trình này biểu thị rằng: Khi x thay đổi thì F(x) sẽ thay đổi tương ứng, và mối quan hệ này được biểu thị bởi một dấu bằng ở giữa. Như vậy, sự thay đổi của x sẽ là nguyên nhân và F(x) sẽ là kết quả – một mối quan hệ nhân quả.
Như vậy, chúng ta sẽ coi vế bên phải của bốn phương trình là nguyên nhân và vế bên trái sẽ là kết quả. Nói theo cách khác, bất cứ điều gì xảy ra ở phía bên phải sẽ gây ra một thay đổi nào đó ở phía bên trái.
Phương trình 1
Đầu tiên chúng ta hãy cùng xét đến định luật Gauss – mô tả mối quan hệ giữa điện trường và điện tích:

Trước tiên, một tam giác lộn ngược (được gọi là toán tử del) và một dấu chấm bên cạnh nó đang mô tả cho chúng ta biết về hiện tượng phân kỳ. Ví dụ, nếu mình có một cái chấm nhỏ ở đây thì phân kỳ là một quá trình “tỏa ra” hoặc “thu vào” – nơi các đường thẳng đang hướng ra bên ngoài hoặc hướng vào bên trong. Thứ hai, ký hiệu E là điện trường. Tổng hợp lại, điều này có nghĩa là điện trường đang “toả ra” bên ngoài theo các hướng khác nhau hoặc đang “tụ lại” về một điểm.

Ở các phương trình sau, hình tam giác lộn ngược này sẽ được đặt cạnh ký hiệu “×” nhằm thể hiện cho độ xoáy. Khác với phân kỳ – một quá trình có xu hướng “lan tỏa” hay “kết tụ” thì độ xoáy lại thể hiện hành vi quay – có thể là quay quanh một vật thể nào đó.

Để giúp bạn hiểu rõ về hai khái niệm này hơn nữa, hãy tưởng tượng bạn đang rửa tay trước khi ăn cơm. Lúc này, nước đang chảy ra từ vòi là hiện tượng phân kỳ – dòng nước đang “chảy ra” khỏi vòi nước. Hiện tượng phân kỳ cũng xảy ra khi dòng nước đang “chảy vào” ống nước dưới đáy bồn. Và khi nước đang “di chuyển” hay “xoay” xung quanh thành bồn, đó chính là độ xoáy.
Tiếp theo, có hai loại ký hiệu khác mà bạn cần phải hiểu rõ ở đây:
- Ký hiệu ρ là mật độ điện tích – Lượng điện tích đi qua một đơn vị không gian (diện tích hoặc thể tích) trong một khoảng thời gian nhất định.
- Ký hiệu ε0 là hằng số điện môi – một đại lượng đo lường khả năng lưu trữ năng lượng điện của một vật liệu bất kỳ trong điện trường.
Về cơ bản, định luật Gauss phát biểu rằng khi bất cứ khi nào một điện tích xuất hiện trong không gian (điện tích dương hoặc điện tích âm), nó sẽ tạo ra một điện trường – từ đó điện trường này sẽ tạo ra một lực (có thể là lực hút hoặc lực đẩy).
Như vậy, định luật Gauss sẽ cho chúng ta biết rằng, hành vi của một điện trường sẽ phụ thuộc vào lượng điện tích (ρ) và loại vật liệu bên trong nó (ε0). Và một điều chắc chắn phải xảy ra chính là điện trường này sẽ có hiện tượng phân kỳ – tức là điện trường sẽ “bung ra” hoặc “thu vào” tại một điểm.
Phương trình 2

Dựa vào phương trình thứ nhất, chúng ta có thể ngay lập tức hiểu được ý nghĩa của phương trình thứ hai. Trước tiên, ký hiệu B ở đây nhằm ám chỉ từ trường. Và Định luật Gauss về từ trường phát biểu rằng nếu bạn muốn có được một từ trường phân kỳ (tức là từ trường sẽ “bung ra” hoặc “thu vào”), bạn sẽ không bao giờ làm được điều này. Trong vũ trụ sẽ không bao giờ có một “điện tích từ” hay một cực từ đơn lẻ nào cả (các cực từ luôn luôn phải xuất hiện theo cặp Bắc và Nam)
Khi so sánh với phương trình thứ nhất, chúng ta có thể thấy rằng, nếu bạn muốn có một điện trường phân kỳ, bạn chỉ cần có một tập hợp các điện tích nhất định nằm yên trong một khoảng không gian nào đó. Và nếu bạn cố gắng tạo ra từ trường phân kỳ thì chúc bạn may mắn, bạn sẽ chẳng thể nào làm được điều đó vì từ trường không thể được tạo ra bằng cách như vậy.
Phương trình 3

Phương trình thứ ba được gọi là định luật Faraday. Định luật này phát biểu rằng, độ xoáy của điện trường được tạo ra bởi một từ trường đang thay đổi theo thời gian.
Ở đây, đạo hàm riêng (∂) được sử dụng để thực hiện phép đạo hàm theo một biến nào đó nhằm đo lường sự thay đổi của một đại lượng nhất định trong khi giữ các biến khác không đổi. Ví dụ, chúng ta có một phương trình sau:
z (x,y) = 13x + 5y
Tại đây, chúng ta thấy rằng hàm z có hai biến phụ thuộc, đó là x và y. Lúc này, đạo hàm của z theo x – đo lường sự thay đổi của hàm z theo biến x trong khi giữ nguyên biến y – sẽ là:
Đạo hàm của z theo y – đo lường sự thay đổi của hàm z theo biến y trong khi giữ nguyên biến x – sẽ là:
Một chức năng quan trọng của đạo hàm là đo lường sự thay đổi của một đại lượng nhất định, ví dụ như đạo hàm của quãng đường là vận tốc – nghĩa là quãng đường thay đổi như thế nào theo thời gian – tức là vận tốc. Đạo hàm của vận tốc là gia tốc – nghĩa là vận tốc thay đổi như thế nào theo thời gian – tức là gia tốc.
Trong định luật Faraday, chúng ta sử dụng đạo hàm riêng để đo lường sự thay đổi trong từ trường theo thời gian. Và một từ trường đang thay đổi sẽ tạo ra một điện trường xoáy. Hiện tượng này đã được phát hiện bởi Michael Faraday.

Đây là thí nghiệm đã được Faraday thực hiện vào năm 1831 nhằm chứng minh cho hiện tượng cảm ứng điện từ. Pin lỏng (bên phải ngoài cùng) đã truyền một dòng điện qua cuộn dây nhỏ (A). Khi nó được đưa lên rồi hạ xuống bên trong cuộn dây lớn (B), từ trường của nó tạo ra một điện áp tức thời, được phát hiện bởi điện kế (G) bên trái ngoài cùng.
Phương trình 4

Phương trình thứ tư được gọi là định luật Ampère-Maxwell. Định luật này phát biểu rằng nếu muốn tạo ra một từ trường xoáy, bạn sẽ có hai cách:
Cách thứ nhất: J được gọi là mật độ dòng điện – tức là một dòng các điện tích đang di chuyển (đơn vị là Ampe) – sẽ tạo ra một từ trường xoáy quay quanh dòng điện này. Bạn có thể sẽ nhớ đến quy tắc nắm tay phải

Cách thứ hai là bạn có thể thay đổi điện trường:
Bạn có thể chọn một trong hai cách này để tạo ra một từ trường xoáy hoặc thậm chí là làm luôn cả hai cách nếu bạn muốn
Ngoài ra, ký hiệu μ0 đại diện cho độ từ thẩm – một đại lượng thể hiện khả năng dẫn từ trường của một vật liệu. Vật liệu có độ từ thẩm cao như sắt hay niken sẽ tập trung các đường sức từ tốt hơn, dẫn từ tốt hơn so với các vật liệu có độ từ thẩm thấp như không khí hoặc nhựa
Và bây giờ, nếu chúng ta kết hợp định luật Faraday (phương trình 3) và định luật Ampère-Maxwell (phương trình 4) thì chúng ta sẽ thu được một phương trình sóng điện từ (“điện trường” và “từ trường”)

Ví dụ, ánh sáng phát ra từ thiết bị mà bạn đang đọc bài viết này đập vào mắt bạn hay ánh sáng đến từ Mặt Trời hay bóng đèn trong nhà…Tất cả đang di chuyển trong không gian dưới dạng sóng điện từ. Điện trường và từ trường sẽ dao động vuông góc với nhau; điện trường thay đổi sẽ tạo ra từ trường; từ trường thay đổi sẽ tạo ra điện trường…và cứ thế chúng truyền đi trong không gian. Nhưng làm thế nào để chúng ta có thể mô tả được chính xác phương trình sóng ánh sáng này?
3. Phương trình sóng ánh sáng
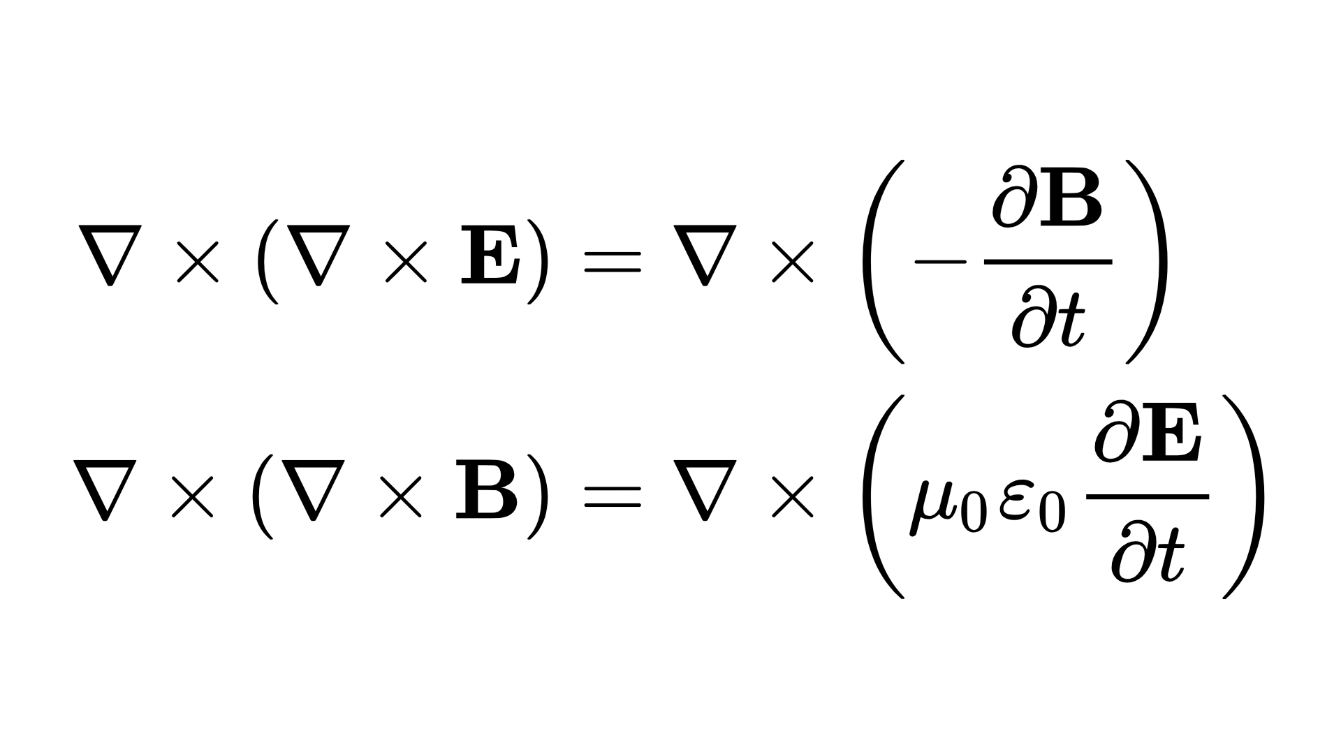
Để thu được phương trình sóng ánh sáng, trước tiên, chúng ta sẽ phải đặt ra giả định rằng, môi trường mà chúng ta đang nghiên cứu sẽ là chân không – một vùng không gian tự do không có bất kỳ một hạt điện tích nào, và do đó sẽ không có điện trường. Do đó, bốn phương trình của Maxwell sẽ được điều chỉnh lại như sau:

Bước 1
Bước đầu tiên chúng ta sẽ lấy độ xoáy ở cả hai vế ở định luật Faraday và định luật Ampère-Maxwell:

Bước 2
Tại đây, chúng ta sẽ sử dụng hằng đẳng thức vectơ (hằng đẳng thức này cũng giống như các hằng đẳng thức đại số mà chúng ta đã được học lúc nhỏ), đó là:
∇ × (∇ × E) = ∇ (∇ ⋅ E) – ∇2E
Bước 3
Vì ∇ ⋅ E = 0 nên hằng đẳng thức trên sẽ trở thành: ∇ × (∇ × E) = – ∇2E
Tương tự, vì ∇ ⋅ B = 0 nên ta có: ∇ × (∇ × B) = – ∇2B
Bước 4
Kết quả, chúng ta có hai phương trình sau:
Bước 5
Tiếp tục biến đổi hai phương trình trên, ta có:
Bước 6
Ta có:
Do đó:
Bước 7
Một hằng đẳng thức liên quan đến tốc độ ánh sáng trong môi trường chân không là:
Thay vào hai phương trình ở bước 5, ta sẽ thu được:
Hai phương trình trên lần lượt mô tả sự dao động trong điện trường và từ trường.
Kết hợp hai phương trình này với nhau, chúng ta đã có cho mình một sóng điện từ. Maxwell đã tính toán được tốc độ di chuyển của các nhiễu loạn điện từ này trong không gian; ông nhận thấy tốc độ này bằng tốc độ ánh sáng – tốc độ đã được đo đạc trên cơ sở thực nghiệm. Vì vậy, ông suy đoán rằng ánh sáng có thể chỉ là một dạng trong một nhóm các nhiễu loạn điện từ khác nhau, được gọi chung là bức xạ điện từ. Khi ánh sáng đi vào mắt chúng ta, các dao động trong trường “điện” và “từ” này sẽ kích thích các đầu dây thần kinh, sau đó truyền thông tin này đến não.

4. Đặc điểm của sóng ánh sáng
Bạn có thể tưởng tượng rằng, những dao động của điện trường và từ trường trong sóng ánh sáng cũng giống như việc bạn thả một viên sỏi vào một mặt nước tĩnh lặng. Trong cả hai trường hợp, các gợn sóng có thể lan truyền rất nhanh từ điểm xuất phát và năng lượng này sẽ có khả năng làm nhiễu loạn những vật thể khác ở xa hơn.
Ví dụ, những dao động của điện trường trong bức xạ điện từ được tạo ra bởi một ăng-ten phát sóng từ đài truyền hình sẽ tác dụng một lực lên các hạt mang điện, chẳng hạn như các electron đang trôi nổi ở xung quanh chúng. Lúc này, các electron sẽ “dao động” qua lại với một tần số tương tự, tạo ra một dòng điện (tín hiệu) và từ trường đi kèm với nó. Một lúc sau, các nhiễu loạn này sẽ được truyền đến và làm dao động một nhóm các electron trong ăng-ten trên nóc nhà của bạn và mang đến cho bạn chương trình thời sự lúc 19 giờ.
Tuy nhiên, sóng do các hạt mang điện tạo ra khác với các loại sóng khác ở một vài điểm. Ví dụ, sóng nước cần nước để truyền đi. Sóng âm mà chúng ta nghe được là do sự nhiễu loạn áp suất và chúng phải cần có không khí để truyền qua. Nhưng sóng điện từ thì không cần có một “môi trường xung quanh” nào đó để truyền qua: các trường điện và trường từ lúc này tự tạo ra nhau và do đó có thể di chuyển trong chân không (chẳng hạn như không gian vũ trụ).
Ý tưởng này gây khó chịu cho các nhà khoa học thế kỷ XIX đến nỗi họ đã phát minh ra một chất để lấp đầy toàn bộ không gian – một chất mà không hề có bất kỳ bằng chứng nào chứng minh cho sự tồn tại của nó – chỉ để sóng ánh sáng có thể truyền qua. Họ gọi nó là ether. Trải qua rất nhiều các thí nghiệm, ngày nay, chúng ta đều biết rằng ether không hề tồn tại và sóng điện từ không gặp bất kỳ khó khăn nào khi di chuyển trong không gian.
Một điểm khác biệt khác là tất cả các sóng điện từ đều chuyển động với cùng một tốc độ trong không gian trống (300.000 km/s), và đây hóa ra lại là “giới hạn tốc độ” của tất cả các vật thể có trong vũ trụ. Bất kể sóng điện từ được tạo ra từ đâu và có những đặc tính nào, khi chúng chuyển động, chúng sẽ chuyển động với tốc độ 300.000 km/s.
Một đặc điểm khá thú vị của sóng là nó là một hiện tượng lặp đi lặp lại. Cho dù đó là chuyển động của sóng nước hay sự thay đổi của điện trường và từ trường trong sóng ánh sáng, đồ thị của chúng đều lặp đi lặp lại theo một chuỗi các đỉnh và đáy. Di chuyển từ đỉnh sóng, qua đáy sóng rồi lại đến đỉnh sóng tiếp theo là hoàn thành một chu kỳ. Khoảng cách giữa hai đỉnh sóng liên tiếp được gọi là bước sóng.

Đối với ánh sáng khả khiến, mắt của chúng ta sẽ phân biệt các bước sóng khác nhau bằng màu. Ví dụ, màu đỏ sẽ là bước sóng dài nhất và màu tím sẽ là bước sóng ngắn nhất. Các bước sóng sẽ ngắn dần khi chạy từ màu đỏ sang màu tím: Đỏ – Cam – Vàng – Lục – Lam – Chàm – Tím.

Chúng ta cũng có thể phân biệt các loại sóng khác nhau bằng tần số của chúng, tức là số chu kỳ sóng đi qua mỗi giây. Ví dụ, nếu bạn đếm được 10 đỉnh sóng di chuyển qua mỗi giây thì tần số sẽ là 10 chu kỳ mỗi giây (cps). Và để vinh danh Heinrich Hertz, người đã phát hiện ra sóng vô tuyến giúp xác nhận lý thuyết điện từ của James Clerk Maxwell, cps cũng thường được gọi là hertz (Hz).
Tốc độ ánh sáng (c), bước sóng (λ) và tần số (f) là ba đại lượng có mối liên hệ rất mật thiết với nhau. Nhưng chúng ta chỉ cần xét đến hai đại lượng chính đó là bước sóng và tần số vì tất cả các sóng điện từ đều truyền đi với cùng một tốc độ.
Và để hiểu rõ hơn về mối quan hệ này, hãy tưởng tượng bạn đang tham dự một buổi khai giảng ở trường cũ. Hãy giả sử rằng tất cả các em học sinh buộc phải diễu hành quanh trường để chào đón các vị đại biểu với một tốc độ bằng nhau. Đầu tiên, bạn sẽ thấy rất nhiều những em nhỏ mới vào lớp 1. Vì chiều cao hạn chế nên các em sẽ có bước chân khá ngắn (bước sóng ngắn), do đó sẽ có rất nhiều các em học sinh đi qua bạn tầm mắt của bạn mỗi phút. Và bạn có thể nói rằng các em học sinh lớp 1 có tần số rất cao.
Tiếp theo là một hàng dài các em học sinh lớp 5. Những em học sinh này rất cao lớn do được uống sữa nhiều và có bước chân rất dài (và di chuyển với cùng một tốc độ giống như các em học sinh lớp 1), vì vậy, số lượng các em học sinh đi qua tầm mắt của bạn mỗi phút sẽ ít hơn nhiều bởi vì chúng có bước sóng dài hơn. Và bạn có thể nói rằng các em học sinh lớp 5 có tần số thấp hơn.
Như vậy, công thức dùng để thể hiện cho mối quan hệ này có thể được biểu diễn như sau: tốc độ chuyển động của một sóng bất kỳ bằng bước sóng (λ) nhân với tần số (𝑓)
c = λ𝑓
Đây là hai đại lượng có mối quan hệ tỷ lệ nghịch với nhau:
5. Sự lan truyền của sóng ánh sáng
Bây giờ, chúng ta hãy thử suy nghĩ một chút về cách ánh sáng từ bóng đèn lan truyền trong không gian. Khi sóng ánh sáng lan rộng, chúng không chỉ cố gắng đập vào mắt của bạn mà còn cố gắng lan ra theo mọi hướng. Tuy nhiên, tổng lượng ánh sáng phát ra thì không thể thay đổi khi ánh sáng đã rời khỏi bóng đèn. Điều này có nghĩa là cường độ ánh sáng mới (và tất cả các loại bức xạ điện từ khác) sẽ giảm đi so với cường độ ánh sáng ban đầu bằng nghịch đảo bình phương của khoảng cách tính tới nguồn sáng. Và sự gia tăng diện tích mà ánh sáng bao phủ sẽ phải tỷ lệ thuận với bình phương của khoảng cách mà ánh sáng đã đi được.
Ví dụ, cường độ ánh sáng của bóng đèn 120 W khi quan sát từ khoảng cách 2 m là 2,4 W/m2. Vậy thì cường độ ánh sáng sẽ là bao nhiêu nếu khoảng cách này tăng gấp đôi? Nếu chúng ta di chuyển ra xa gấp đôi thì cường độ ánh sáng mới sẽ bằng (½)2 = ¼ cường độ ánh sáng ban đầu, có giá trị là 0,6 W/m2.
Và đương nhiên, sự suy giảm này gây ra rất nhiều khó khăn trong việc quan sát các nguồn sáng phát ra từ những nơi rất xa trong vũ trụ. Một trong những ngôi sao gần nhất, Alpha Centauri A, tổng năng lượng phát ra của nó là gần bằng Mặt Trời. Nhưng nó lại cách rất xa chúng ta, gấp 270.000 lần so với Mặt Trời và do đó, nó mờ hơn khoảng 73 tỷ lần. Do đó, không có gì lạ khi các ngôi sao – những vật thể ít nhiều khá giống Mặt Trời, lại trông giống như những chấm sáng mờ đục.
Ý tưởng về độ sáng biểu kiến của một nguồn (độ sáng mà chúng ta nhìn thấy) giảm dần theo khoảng cách thường được gọi là định luật nghịch đảo bình phương. Và định luật này cũng có thể áp dụng đối với trọng lực: Lực hấp dẫn giữa hai vật thể tỷ lệ nghịch với bình phương khoảng cách giữa chúng:
1. https://en.wikipedia.org/wiki/Proxima_Centauri
2. https://en.wikipedia.org/wiki/Radiation
3. https://scienceworld.wolfram.com/physics/Radiation.html
4. https://www.thefreedictionary.com/radiation
5. https://en.wikipedia.org/wiki/Electromagnetic_radiation#
6. https://en.wikipedia.org/wiki/Maxwell%27s_equations#
7. https://en.wikipedia.org/wiki/Michael_Faraday#
8. https://calcworkshop.com/vector-calculus/curl-and-divergence/
9. https://en.wikipedia.org/wiki/Electromagnetic_wave_equation
